Упр.6 ГДЗ Макарычев Миндюк 9 класс (Алгебра)
Решение #1
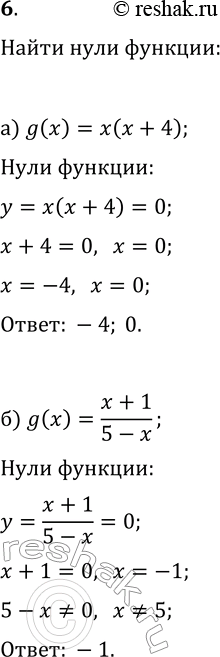
Решение #2
Решение #3

Рассмотрим вариант решения задания из учебника Макарычев, Миндюк, Нешков 9 класс, Просвещение:
6. Найдите значения x, при которых g(x) = 0, если: a) g(x) = х(х + 4); б) g(x) = (x+1)/(5-x).
*размещая тексты в комментариях ниже, вы автоматически соглашаетесь с пользовательским соглашением