Упр.4 ГДЗ Макарычев Миндюк 9 класс (Алгебра)
Решение #1
Решение #2
Решение #3

Рассмотрим вариант решения задания из учебника Макарычев, Миндюк, Нешков 9 класс, Просвещение:
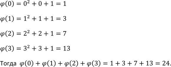
4 Пусть фи(x) = х2 + х + 1. Найдите фи(0) + фи(1) + фи(2) + фи(3).
*размещая тексты в комментариях ниже, вы автоматически соглашаетесь с пользовательским соглашением