Упр.524 ГДЗ Алимов 10-11 класс (Алгебра)
Решение #1
Решение #2

Рассмотрим вариант решения задания из учебника Алимов, Колягин, Ткачёва 10 класс, Просвещение:
524 Найти значение острого угла a, если:
1) cos 75° = cos (90° - а);
2) sin 150° = sin (90° + а);
3) sin 150° = sin (180° - а);
4) cos 310° = cos (270° + а);
5) sin 5пи/4 = sin (пи + а);
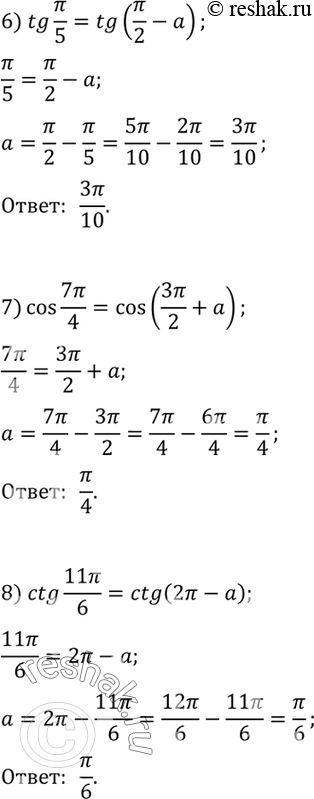
6) tg пи/5 = tg(пи/2 -a);
7) cos 7пи/4 = cos (3пи/2 + а);
8) ctg 11пи/6 = ctg(2пи-a).
*размещая тексты в комментариях ниже, вы автоматически соглашаетесь с пользовательским соглашением