Упр.314 ГДЗ Муравин 7 класс (Алгебра)
Решение #1

Рассмотрим вариант решения задания из учебника Муравин, Муравина 7 класс, Дрофа:
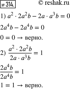
314. Даны одночлены: а^2, 2а^2b, 2а, a^3 b. С помощью знаков действий составьте из них:
1) выражение, тождественно равное нулю;
2) выражение, тождественно равное единице.
*размещая тексты в комментариях ниже, вы автоматически соглашаетесь с пользовательским соглашением