Упр.7.29 ГДЗ Мордкович 9 класс (Алгебра)
Решение #1
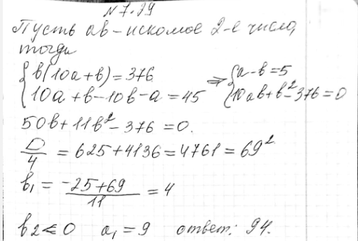
Решение #2

Рассмотрим вариант решения задания из учебника Мордкович 9 класс, Мнемозина:
7.29. Если задуманное двузначное число умножить на цифру его единиц, то получится 376, а если из задуманного числа вычесть двузначное число, записанное теми же цифрами, но в обратном порядке, то получится 45. Какое число задумано?
*размещая тексты в комментариях ниже, вы автоматически соглашаетесь с пользовательским соглашением