№921 ГДЗ Атанасян 7-9 класс по геометрии (Геометрия)

Решение #1

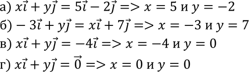
Изображение Найдите числа х и у, удовлетворяющие условию: a) xi + yj = 5i-2j; б) -3i + yj = xi + 7j; в) xi + yj=-4i; г) xi + yj =...

Рассмотрим вариант решения задания из учебника Атанасян, Бутузов 9 класс, Просвещение:
Найдите числа х и у, удовлетворяющие условию: a) xi + yj = 5i-2j; б) -3i + yj = xi + 7j; в) xi + yj=-4i; г) xi + yj = 0.
*Цитирирование задания со ссылкой на учебник производится исключительно в учебных целях для лучшего понимания разбора решения задания.
*размещая тексты в комментариях ниже, вы автоматически соглашаетесь с пользовательским соглашением