Упр.539 ГДЗ Муравин 7 класс (Алгебра)
Решение #1

Рассмотрим вариант решения задания из учебника Муравин, Муравина 7 класс, Дрофа:
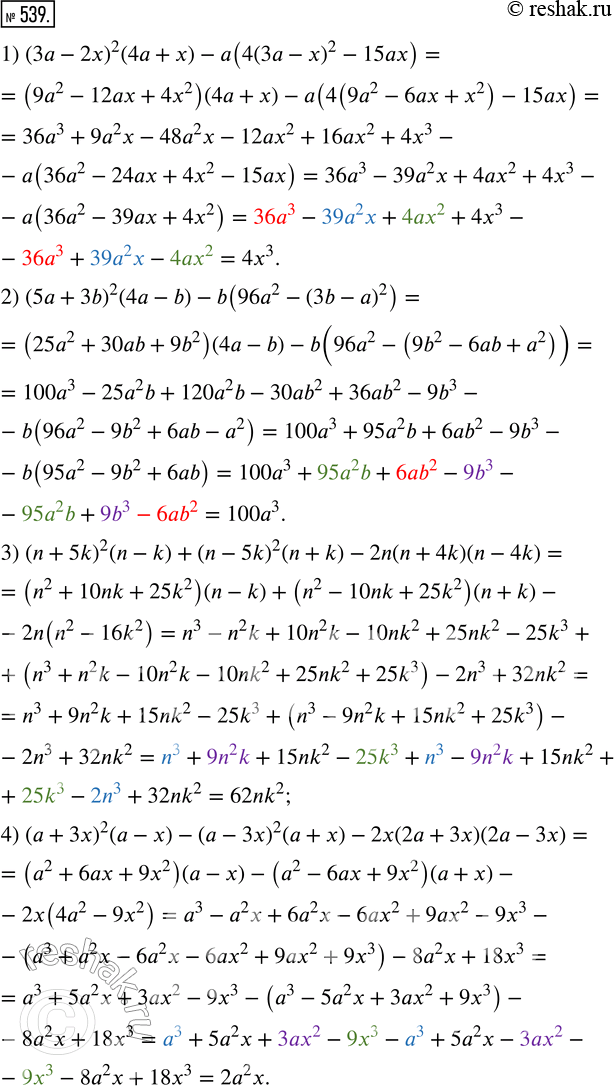
539. Преобразуйте в многочлен стандартного вида:
1) (3а - 2x)^2 (4а + х) - а(4(3а - x)^2 - 15ах);
2) (5а + 3b)^2 (4a - b) - b(96a^2 - (3b - а)^2);
3) (n + 5k)^2 (n - k) + (n - 5k)^2 (n + k) - 2n(n + 4k)(n - 4k);
4) (а + 3x)^2 (а - х) - (а - 3x)^2 (а + x) - 2х(2а + 3x)(2а - 3x).
*размещая тексты в комментариях ниже, вы автоматически соглашаетесь с пользовательским соглашением