Упр.525 ГДЗ Муравин 7 класс (Алгебра)
Решение #1

Рассмотрим вариант решения задания из учебника Муравин, Муравина 7 класс, Дрофа:
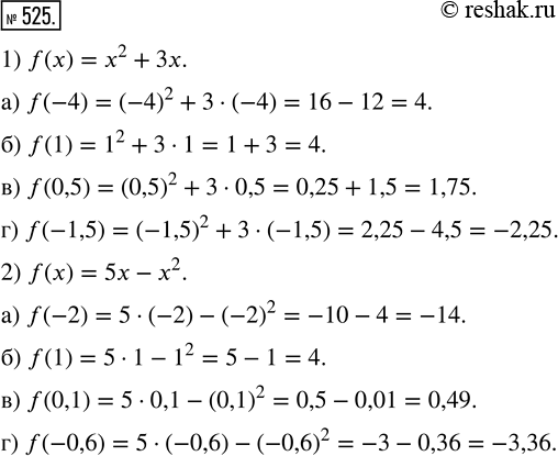
525. 1) Функция у = f(x) задана формулой f(x) = х^2 + 3х. Найдите:
а) f(-4); б) f(1); в) f(0,5); г) f(-1,5).
2) Функция f(x) задана формулой f(x) = 5х — х^2. Найдите:
а) f(-2); б) f(1); в) f(0,1); г) f(-0,6).
*размещая тексты в комментариях ниже, вы автоматически соглашаетесь с пользовательским соглашением