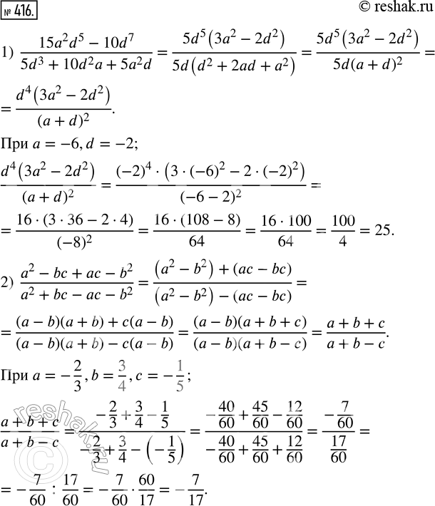
Упр.416 ГДЗ Муравин 7 класс (Алгебра)
Решение #1

Рассмотрим вариант решения задания из учебника Муравин, Муравина 7 класс, Дрофа:
416. Найдите значение выражения:
1) (15a^2 d^5 - 10d^7)/(5d^3 + 10d^2 a + 5a^2 d) при a = -6, d = -2;
2) (a^2 - bc + ac - b^2)/(a^2 + bc - ac - b^2) при a = -2/3, b = 3/4, c = -1/5.
*размещая тексты в комментариях ниже, вы автоматически соглашаетесь с пользовательским соглашением