Упр.336 ГДЗ Муравин 7 класс (Алгебра)
Решение #1

Рассмотрим вариант решения задания из учебника Муравин, Муравина 7 класс, Дрофа:
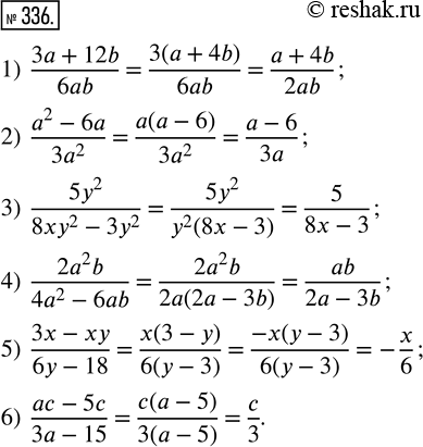
336. Сократите дробь:
1) (3a+12b)/6ab; 3) 5y^2/(8xy^2-3y^2); 5) (3x-xy)/(6y-18);
2) (a^2-6a)/3a^2; 4) 2a^2b/(4a^2-6ab); 6) (ac-5c)/(3a-15).
*размещая тексты в комментариях ниже, вы автоматически соглашаетесь с пользовательским соглашением