Упр.292 ГДЗ Муравин 7 класс (Алгебра)
Решение #1

Рассмотрим вариант решения задания из учебника Муравин, Муравина 7 класс, Дрофа:
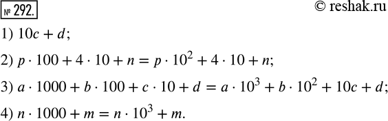
292. Используя степени числа 10, запишите:
1) двузначное число, в котором с десятков и d единиц;
2) трёхзначное число, в котором р сотен, 4 десятка и n единиц;
3) четырёхзначное число, в котором а тысяч, b сотен, с десятков и d единиц;
4) четырёхзначное число, в котором n тысяч и m единиц.
*размещая тексты в комментариях ниже, вы автоматически соглашаетесь с пользовательским соглашением