Упр.262 ГДЗ Никольский Потапов 7 класс (Алгебра)
Решение #1

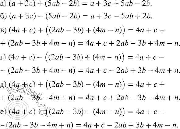
Рассмотрим вариант решения задания из учебника Никольский, Потапов 7 класс, Просвещение:
262 Запишите в виде многочлена:
а) сумму а + Зс и 5аb - 2b;
б) разность а + Зс и 5аb - 2b;
в) сумму 4а + с и суммы 2аb - Зb и 4m - n;
г) разность 4а + с и суммы 2аb - Зb и 4m - n;
д) сумму 4а + с и разности 2аb - Зb и 4m - n;
е) разность 4а + с и разности 2аb - Зb и 4m - n.
*размещая тексты в комментариях ниже, вы автоматически соглашаетесь с пользовательским соглашением