Упр.252 ГДЗ Муравин 7 класс (Алгебра)
Решение #1

Рассмотрим вариант решения задания из учебника Муравин, Муравина 7 класс, Дрофа:
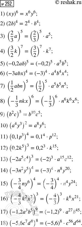
252. Представьте степень произведения в виде произведение степеней:
1) (xy)^6; 7) (1/2 abn)^5; 13) (-2a^5 c^4)^3;
2) (2b)^4; 8) (-1/3 nkx)^6; 14) (-3n^2 y^5)^4;
3) (2/3 a)^5; 9) (b^2 c)^5; 15) (-3/4 ny^6)^4;
4) (3/2 k)^7; 10) (a^4 y^3)^2; 16) (-4/3 k^2 x^7)^3;
5) (-0,2ab)^5; 11) (0,1p^3)^4; 17) (-1,2a^3 b^5)^9;
6) (-3abx)^4; 12) (0,2k^5)^3; 18) (-5,6c^7 d^8)^8.
*размещая тексты в комментариях ниже, вы автоматически соглашаетесь с пользовательским соглашением