Упр.213 ГДЗ Муравин 7 класс (Алгебра)
Решение #1

Рассмотрим вариант решения задания из учебника Муравин, Муравина 7 класс, Дрофа:
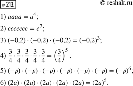
213. Представьте произведение в виде степени:
1) аааа;
2) ссссссс;
3) (-0,2) · (-0,2) · (-0,2);
4) 3/4 · 3/4 · 3/4 · 3/4 · 3/4.
5) (-р) · (-р) · (-р) · (-р) · (-р) · (-р);
6) (2а) · (2а) · (2а) · (2а) · (2а).
*размещая тексты в комментариях ниже, вы автоматически соглашаетесь с пользовательским соглашением