Упр.13.24 ГДЗ Мерзляк 11 класс Углубленный уровень (Алгебра)
Решение #1

Рассмотрим вариант решения задания из учебника Мерзляк, Номировский, Поляков 11 класс, Вентана-Граф, Просвещение:
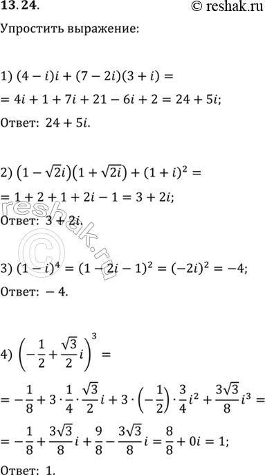
13.24. Упростите выражение:
1) (4-i)i+(7-2i)(3+i); 3) (1-i)^4;
2) (1-v2i)(1+v2i)+(1+i)^2; 4) (-1/2+v3/2 i)^3.
*размещая тексты в комментариях ниже, вы автоматически соглашаетесь с пользовательским соглашением